| 索引号 | 53040020201164678 | 文     号 |   |
| 来   源 | 玉溪市人民政府网 | 公开日期 | 2020-06-21 |
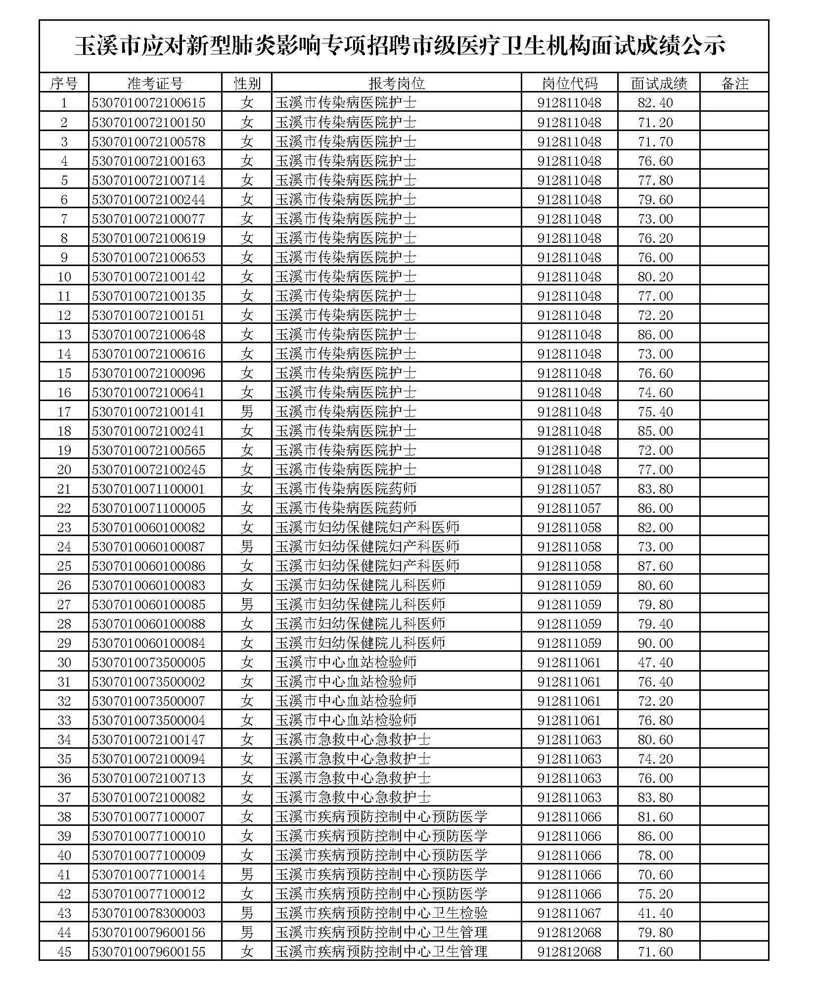
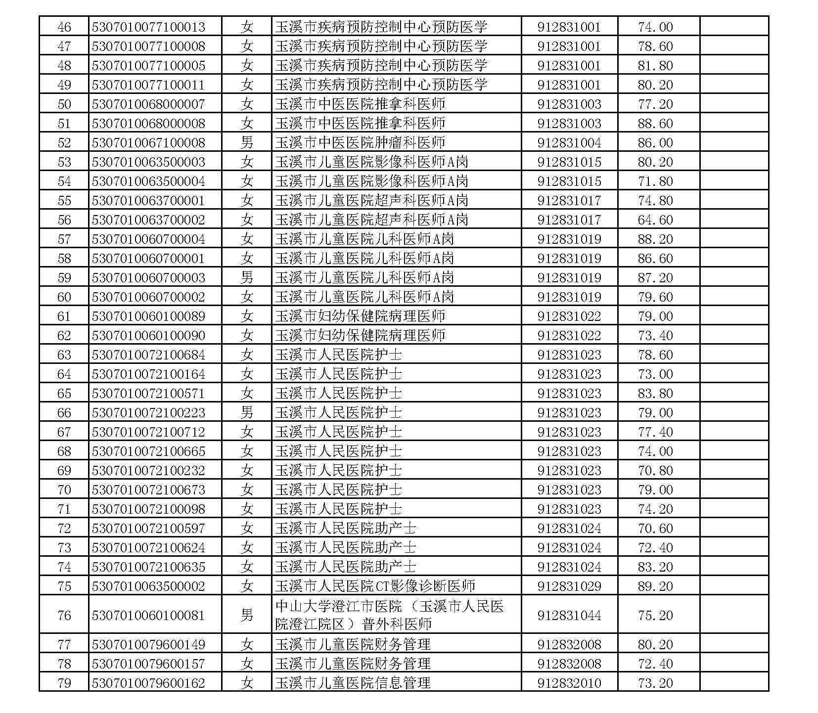
玉溪市应对新冠肺炎影响专项招聘市级医疗卫生机构面试成绩公示
相关阅读:
- 玉溪市推进爱国卫生“7个专项行动”工作简报(第16期) 2024-07-19
- 玉溪市开展物业服务领域专项整治行动 2024-07-18
- 玉溪市江川区安全生产资格证书涉假专项治理工作正式启动 2024-07-17
- 红塔区扎实开展危险化学品重大危险源专项整治 2024-07-17
- 以专项行动为抓手 打好大气污染防治攻坚战 2024-07-12
- 积极推进夏季百日会战联合专项行动 建设美丽峨山 2024-07-10
- 江川分局参加2024年玉溪市集中式污水处理单位专项执法检查暨执法竞技比武 2024-07-09
- 关于玉溪市2024年第一批市级现代农业产业基地拟认定名单的公示 2024-07-15
- 玉溪市委第七巡察组对市发展和改革委员会党组开展清廉云南建设玉溪实践及整治群众身边不正之风和腐败问题专项巡察工作动员会召开 2024-07-15
- 市委第七巡察组对市财政局党组开展清廉云南建设玉溪实践及整治群众身边不正之风和腐败问题专项巡察工作动员会召开 2024-07-12


滇公网安备 53040202000080号
